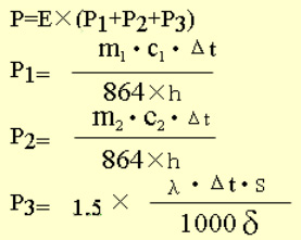
电加热设计
静止介质的计算
静止介质的计算
静止介质的计算
|
|
P :加热总功率( KW ) |
|
流动介质的计算 |
c3: 介质比热( kcal/kg℃ ) |
|
|
常用材料的性能
|
名称 |
密度 μ g/cm3 |
比热 C KCal/Kg·℃ |
名称 |
密度 μ g/cm3 |
比热 C KCal/Kg·℃ |
|
醋酸 |
1.049 |
0.52 |
空气 |
0.00129 |
0.24 |
|
乙醇 |
0.785 |
0.58 |
二氧化碳 |
0.00198 |
0.20 |
|
甲醇 |
0.786 |
0.61 |
氨 |
0.00077 |
0.52 |
|
石油 |
0.82 |
0.511 |
氯化氢 |
0.00164 |
0.20 |
|
甘油 |
1.259 |
0.63 |
氢气 |
0.00009 |
3.409 |
|
煤油 |
0.82 |
0.5 |
氮气 |
0.00117 |
0.244 |
|
导热油 |
0.88 |
0.47 |
天燃气 |
0.0007 |
0.593 |
|
机油 |
0.929 |
0.40 |
沥青 |
1.1 |
0.40 |
|
苯 |
0.88 |
0.34 |
蜂蜡 |
0.95 |
0.82 |
|
苯胺 |
1.03 |
0.512 |
钢 |
7.8 |
0.13 |
|
甲苯 |
0.88 |
0.44 |
铝 |
2.7 |
0.226 |
|
水 |
1.0 |
1.0 |
锡 |
6.92 |
0.0548 |
|
松香水 |
0.87 |
0.411 |
ABS 塑料 |
1.0 |
0.35 |
手机:18012322277 电话:0514-88428712
邮件:3287077626@qq.com